Clonixin
|  | |
| Names | |
|---|---|
| Preferred IUPAC name 2-(3-Chloro-2-methylanilino)pyridine-3-carboxylic acid | |
| Other names Clonixic acid; CBA 93626[1] | |
| Identifiers | |
| 3D model (JSmol) | |
| ChEBI | 
 | 
| ChEMBL | |
| ChemSpider | |
| ECHA InfoCard | 100.037.921 | 
| KEGG | |
| PubChem CID | |
| UNII | |
| CompTox Dashboard (EPA) | |
| 
 | |
| 
 | |
| Properties | |
| C13H11ClN2O2 | |
| Molar mass | 262.69 g·mol−1 | 
| Pharmacology | |
| per os | |
| Pharmacokinetics: | |
| Glucuronidation via UGT2B7 | |
| Legal status | 
 | 
| Except where otherwise noted, data are given for materials in their standard state (at 25 °C [77 °F], 100 kPa). Infobox references | |
Clonixin is a nonsteroidal anti-inflammatory drug (NSAID). It also has analgesic, antipyretic, and platelet-inhibitory actions. It is used primarily in the treatment of chronic arthritic conditions and certain soft tissue disorders associated with pain and inflammation.
Synthesis

Clonixeril
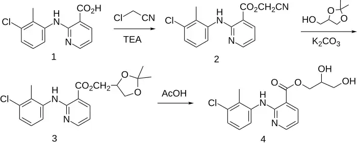
The glyceryl ester of clonixin, clonixeril, is also an NSAID. It was prepared by a somewhat roundabout method.

Clonixin was reacted with chloroacetonitrile and triethylamine to give 2. Heating with potassium carbonate and glycerol acetonide displaced the activating group to produce ester 3, which was deblocked in acetic acid to produce clonixeril (4).
See also
References
- ^ Finch, Jay S.; Dekornfeld, Thomas J. (1971). "Clonixin: A Clinical Evaluation of a New Oral Analgesic". The Journal of Clinical Pharmacology and New Drugs. 11 (5): 371–377. doi:10.1177/009127007101100508. hdl:2027.42/67636. PMID 4935715. S2CID 38883141. Retrieved 2015-05-21.
- ^ M. H. Sherlock, ZA 6802185 (1968); Chem. Abstr., 70: 96640c (1969).
- ^ CH 534129 (1973); Chem. Abstr., 79: 18582g (1973).

