Photochemistry

Photochemical immersion well reactor (50 mL) with a mercury-vapor lamp

Photochemistry is the branch of chemistry concerned with the chemical effects of light. Generally, this term is used to describe a chemical reaction caused by absorption of ultraviolet (wavelength from 100 to 400 nm), visible (400–750 nm), or infrared radiation (750–2500 nm).[1]

In nature, photochemistry is of immense importance as it is the basis of photosynthesis, vision, and the formation of vitamin D with sunlight.[2] It is also responsible for the appearance of DNA mutations leading to skin cancers.[3]

Photochemical reactions proceed differently than temperature-driven reactions. Photochemical paths access high-energy intermediates that cannot be generated thermally, thereby overcoming large activation barriers in a short period of time, and allowing reactions otherwise inaccessible by thermal processes. Photochemistry can also be destructive, as illustrated by the photodegradation of plastics.

Concepts

Photoexcitation is the first step in a photochemical process: the reactant is elevated to a state of higher energy, an excited state.

Grotthuss–Draper law and Stark–Einstein law

The first law of photochemistry, known as the Grotthuss–Draper law (for chemists Theodor Grotthuss and John W. Draper), states that light must be absorbed by a chemical substance in order for a photochemical reaction to take place. According to the second law of photochemistry, known as the Stark–Einstein law (for physicists Johannes Stark and Albert Einstein), for each photon of light absorbed by a chemical system, no more than one molecule is activated for a photochemical reaction, as defined by the quantum yield.[4][5]

Fluorescence and phosphorescence

When a substance in its ground state (S0) absorbs light, one electron is excited. This electron maintains its spin. according to the spin selection rule; other transitions would violate the law of conservation of angular momentum. The excitation to a higher singlet state can be from HOMO to LUMO or to a higher orbital, so that singlet excitation states S1, S2, S3... at different energies are possible.

Kasha's rule stipulates that higher singlet states quickly relax by radiationless decay or internal conversion (IC) to S1. Thus, S1 is usually, but not always, the only relevant singlet excited state. This excited state S1 can further relax to S0 by IC, but also by an allowed radiative transition from S1 to S0 that emits a photon; this process is called fluorescence.

Jablonski diagram. Radiative paths are represented by straight arrows and non-radiative paths by curly lines.

Alternatively, it is possible for the excited state S1 to undergo spin inversion and to generate a triplet excited state T1 having two unpaired electrons with the same spin. This violation of the spin selection rule is possible by intersystem crossing (ISC) of the vibrational and electronic levels of S1 and T1. According to Hund's rule of maximum multiplicity, this T1 state would be somewhat more stable than S1.

This triplet state can relax to the ground state S0 by radiationless ISC or by a radiation pathway called phosphorescence. This process implies a change of electronic spin, which is forbidden by spin selection rules, making phosphorescence (from T1 to S0) much slower than fluorescence (from S1 to S0). Thus, triplet states generally have longer lifetimes than singlet states. These transitions are usually summarized in a state energy diagram or Jablonski diagram, the paradigm of molecular photochemistry.

These excited species, either S1 or T1, have a half-empty low-energy orbital, and are consequently more oxidizing than the ground state. But at the same time, they have an electron in a high-energy orbital, and are thus more reducing. In general, excited species are prone to participate in electron transfer processes.[6]

Experimental setup

Photochemical immersion well reactor (750 mL) with a mercury-vapor lamp

Photochemical reactions require a light source that emits wavelengths corresponding to an electronic transition in the reactant. In the early experiments (and in everyday life), sunlight was the light source, although it is polychromatic.[7] Mercury-vapor lamps are more common in the laboratory. Low-pressure mercury-vapor lamps mainly emit at 254 nm. For polychromatic sources, wavelength ranges can be selected using filters. Alternatively, laser beams are usually monochromatic (although two or more wavelengths can be obtained using nonlinear optics), and LEDs have a relatively narrow band that can be efficiently used, as well as Rayonet lamps, to get approximately monochromatic beams.

Schlenk tube containing slurry of orange crystals of Fe2(CO)9 in acetic acid after its photochemical synthesis from Fe(CO)5. The mercury lamp (connected to white power cords) can be seen on the left, set inside a water-jacketed quartz tube.

The emitted light must reach the targeted functional group without being blocked by the reactor, medium, or other functional groups present. For many applications, quartz is used for the reactors as well as to contain the lamp. Pyrex absorbs at wavelengths shorter than 275 nm. The solvent is an important experimental parameter. Solvents are potential reactants, and for this reason, chlorinated solvents are avoided because the C–Cl bond can lead to chlorination of the substrate. Strongly-absorbing solvents prevent photons from reaching the substrate. Hydrocarbon solvents absorb only at short wavelengths and are thus preferred for photochemical experiments requiring high-energy photons. Solvents containing unsaturation absorb at longer wavelengths and can usefully filter out short wavelengths. For example, cyclohexane and acetone "cut off" (absorb strongly) at wavelengths shorter than 215 and 330 nm, respectively.

Typically, the wavelength employed to induce a photochemical process is selected based on the absorption spectrum of the reactive species, most often the absorption maximum. Over the last years, however, it has been demonstrated that, in the majority of bond-forming reactions, the absorption spectrum does not allow selecting the optimum wavelength to achieve the highest reaction yield based on absorptivity. This fundamental mismatch between absorptivity and reactivity has been elucidated with so-called photochemical action plots.[8][9]

Photochemistry in combination with flow chemistry

Continuous-flow photochemistry offers multiple advantages over batch photochemistry. Photochemical reactions are driven by the number of photons that are able to activate molecules causing the desired reaction. The large surface-area-to-volume ratio of a microreactor maximizes the illumination, and at the same time allows for efficient cooling, which decreases the thermal side products.[10]

Photochemical reactions

Organic photochemistry

Examples of photochemical organic reactions are electrocyclic reactions, radical reactions, photoisomerization, and Norrish reactions.[19][20]

Norrish type II reaction

Alkenes undergo many important reactions that proceed via a photon-induced π to π* transition. The first electronic excited state of an alkene lacks the π-bond, so that rotation about the C–C bond is rapid and the molecule engages in reactions not observed thermally. These reactions include cis-trans isomerization and cycloaddition to other (ground state) alkene to give cyclobutane derivatives. The cis-trans isomerization of a (poly)alkene is involved in retinal, a component of the machinery of vision. The dimerization of alkenes is relevant to the photodamage of DNA, where thymine dimers are observed upon illuminating DNA with UV radiation. Such dimers interfere with transcription. The beneficial effects of sunlight are associated with the photochemically-induced retro-cyclization (decyclization) reaction of ergosterol to give vitamin D. In the DeMayo reaction, an alkene reacts with a 1,3-diketone reacts via its enol to yield a 1,5-diketone. Still another common photochemical reaction is Howard Zimmerman's di-π-methane rearrangement.

In an industrial application, about 100,000 tonnes of benzyl chloride are prepared annually by the gas-phase photochemical reaction of toluene with chlorine.[21] The light is absorbed by chlorine molecules, the low energy of this transition being indicated by the yellowish color of the gas. The photon induces homolysis of the Cl-Cl bond, and the resulting chlorine radical converts toluene to the benzyl radical:

Cl2 + hν → 2 Cl·
C6H5CH3 + Cl· → C6H5CH2· + HCl
C6H5CH2· + Cl· → C6H5CH2Cl

Mercaptans can be produced by photochemical addition of hydrogen sulfide (H2S) to alpha olefins.

Inorganic and organometallic photochemistry

Coordination complexes and organometallic compounds are also photoreactive. These reactions can entail cis-trans isomerization. More commonly, photoreactions result in dissociation of ligands, since the photon excites an electron on the metal to an orbital that is antibonding with respect to the ligands. Thus, metal carbonyls that resist thermal substitution undergo decarbonylation upon irradiation with UV light. UV-irradiation of a THF solution of molybdenum hexacarbonyl gives the THF complex, which is synthetically useful:

Mo(CO)6 + THF → Mo(CO)5(THF) + CO

In a related reaction, photolysis of iron pentacarbonyl affords diiron nonacarbonyl (see figure):

2 Fe(CO)5 → Fe2(CO)9 + CO

Select photoreactive coordination complexes can undergo oxidation-reduction processes via single electron transfer. This electron transfer can occur within the inner or outer coordination sphere of the metal.[22]

Types of photochemical reactions

Here are some different types of photochemical reactions-

  • Photo-dissociation: AB + hν → A* + B*
  • Photo induced rearrangements, isomerization: A + hν → B
  • Photo-addition: A + B + hν → AB + C
  • Photo-substitution: A + BC + hν → AB + C
  • Photo-redox reaction: A + B + hν → A− + B+

Historical

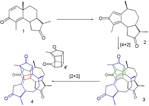
Although bleaching has long been practiced, the first photochemical reaction was described by Trommsdorff in 1834.[23] He observed that crystals of the compound α-santonin when exposed to sunlight turned yellow and burst. In a 2007 study the reaction was described as a succession of three steps taking place within a single crystal.[24]

Santonin Photochemical reaction

The first step is a rearrangement reaction to a cyclopentadienone intermediate (2), the second one a dimerization in a Diels–Alder reaction (3), and the third one an intramolecular [2+2]cycloaddition (4). The bursting effect is attributed to a large change in crystal volume on dimerization.

See also

References

  1. ^ IUPAC, Compendium of Chemical Terminology, 5th ed. (the "Gold Book") (2025). Online version: (2006–) "photochemistry". doi:10.1351/goldbook.P04588
  2. ^ Glusac, Ksenija (2016). "What has light ever done for chemistry?". Nature Chemistry. 8 (8): 734–735. Bibcode:2016NatCh...8..734G. doi:10.1038/nchem.2582. PMID 27442273.
  3. ^ J. Cadet and T. Douki Photochem. & Photobiol. Sci. 2018 (17) pp 1816-1841 DOI: 10.1039/c7pp00395a
  4. ^ Calvert, J. G.; Pitts, J. N. Photochemistry. Wiley & Sons: New York, US, 1966. Congress Catalog number: 65-24288
  5. ^ Photochemistry, website of William Reusch (Michigan State University), accessed 26 June 2016
  6. ^ Wayne, C. E.; Wayne, R. P. Photochemistry, 1st ed.; Oxford University Press: Oxford, United Kingdom, reprinted 2005. ISBN 0-19-855886-4.
  7. ^ Ciamician, Giacomo; Silber, P. (May 1901). "Chemische Lichtwirkungen". Berichte der Deutschen Chemischen Gesellschaft. 34 (2): 2040–2046. doi:10.1002/cber.190103402118. ISSN 0365-9496.
  8. ^ Irshadeen, Ishrath Mohamed; Walden, Sarah L.; Wegener, Martin; Truong, Vinh X.; Frisch, Hendrik; Blinco, James P.; Barner-Kowollik, Christopher (2021-12-22). "Action Plots in Action: In-Depth Insights into Photochemical Reactivity". Journal of the American Chemical Society. 143 (50): 21113–21126. Bibcode:2021JAChS.14321113I. doi:10.1021/jacs.1c09419. ISSN 0002-7863. PMID 34859671. S2CID 244880552.
  9. ^ Walden, Sarah L.; Carroll, Joshua A.; Unterreiner, Andreas-Neil; Barner-Kowollik, Christopher (2023-11-08). "Photochemical Action Plots Reveal the Fundamental Mismatch Between Absorptivity and Photochemical Reactivity". Advanced Science. 11 (3): e2306014. doi:10.1002/advs.202306014. ISSN 2198-3844. PMC 10797470. PMID 37937391.
  10. ^ Oelgemöller, Michael; Shvydkiv, Oksana (2011). "Recent Advances in Microflow Photochemistry". Molecules. 16 (9): 7522–7550. doi:10.3390/molecules16097522. PMC 6264405. PMID 21894087.
  11. ^ Saunders, D. S. (2002-11-11). Insect Clocks, Third Edition. Elsevier Science. p. 179. ISBN 0444504079.
  12. ^ Lefebvre, Corentin; Hoffmann, Norbert (2021-01-01), Török, Béla; Schäfer, Christian (eds.), "Chapter Eight – Photochemical rearrangements in organic synthesis and the concept of the photon as a traceless reagent", Nontraditional Activation Methods in Green and Sustainable Applications, Advances in Green and Sustainable Chemistry, Elsevier, pp. 283–328, doi:10.1016/b978-0-12-819009-8.00008-6, ISBN 978-0-12-819009-8, S2CID 234209169, retrieved 2022-01-24
  13. ^ Lefebvre, Corentin; Fortier, Lucas; Hoffmann, Norbert (2020). "Photochemical Rearrangements in Heterocyclic Chemistry". European Journal of Organic Chemistry. 2020 (10): 1393–1404. doi:10.1002/ejoc.201901190. ISSN 1099-0690. S2CID 204117942.
  14. ^ Dugave, Christophe (2006-10-06). Cis-trans Isomerization in Biochemistry. John Wiley & Sons. pp. 56. ISBN 9783527313044.
  15. ^ Protti, Stefano; Fagnoni, Maurizio (2009). "The sunny side of chemistry: Green synthesis by solar light". Photochemical & Photobiological Sciences. 8 (11): 1499–516. Bibcode:2009PhPhS...8.1499P. doi:10.1039/B909128A. PMID 19862408. S2CID 9323784.
  16. ^ Peplow, Mark (17 April 2013). "Sanofi launches malaria drug production". Chemistry World.
  17. ^ Paddon, C. J.; Westfall, P. J.; Pitera, D. J.; Benjamin, K.; Fisher, K.; McPhee, D.; Leavell, M. D.; Tai, A.; Main, A.; Eng, D.; Polichuk, D. R. (2013). "High-level semi-synthetic production of the potent antimalarial artemisinin". Nature. 496 (7446): 528–532. Bibcode:2013Natur.496..528P. doi:10.1038/nature12051. ISSN 0028-0836. PMID 23575629.
  18. ^ CYCLOBUTANE- TYPE PYRIMIDINE DIMERS IN POLYNUCLEOTIDES, R. B. Setlow, Science 1966 Vol. 153, p. 379, DOI: 10.1126/science.153.3734.379
  19. ^ Klán, Petr; Wirz, Jakob (2009-03-23). Photochemistry of Organic Compounds: From Concepts to Practice. John Wiley & Sons. ISBN 978-1405190886.
  20. ^ Turro, Nicholas J.; Ramamurthy, V.; Scaiano, Juan C. (2010). Modern Molecular Photochemistry of Organic Molecules. University Science Books. ISBN 978-1891389252.
  21. ^ Rossberg, Manfred; Lendle, Wilhelm; Pfleiderer, Gerhard; Tögel, Adolf; Dreher, Eberhard-Ludwig; Langer, Ernst; Rassaerts, Heinz; Kleinschmidt, Peter; Strack, Heinz; Cook, Richard; Beck, Uwe; Lipper, Karl-August; Torkelson, Theodore R.; Löser, Eckhard; Beutel, Klaus K.; Mann, Trevor (2006). "Chlorinated Hydrocarbons". Ullmann's Encyclopedia of Industrial Chemistry. doi:10.1002/14356007.a06_233.pub2. ISBN 3527306730.
  22. ^ Balzani, Vincenzo; Carassiti, Vittorio (1970). Photochemistry of Coordination Compounds. New York, New York: Academic Press, Inc. pp. 37–39. ISBN 9780120772506.
  23. ^ Trommsdorff, Hermann (1834). "Ueber Santonin". Annalen der Pharmacie. 11 (2): 190–207. doi:10.1002/jlac.18340110207.
  24. ^ Natarajan, Arunkumar; Tsai, C. K.; Khan, Saeed I.; McCarren, Patrick; Houk, K. N.; Garcia-Garibay, Miguel A. (2007). "The Photoarrangement of α-Santonin is a Single-Crystal-to-Single-Crystal Reaction: A Long Kept Secret in Solid-State Organic Chemistry Revealed". Journal of the American Chemical Society. 129 (32): 9846–9847. Bibcode:2007JAChS.129.9846N. doi:10.1021/ja073189o. PMID 17645337.

Further reading