Organoactinide chemistry
thorium(IV)-3D-balls.png)
Organoactinide chemistry is the science exploring the properties, structure, and reactivity of organoactinide compounds, which are organometallic compounds containing a carbon to actinide chemical bond.
Like most organometallic compounds, the organoactinides are air sensitive and need to be handled using the appropriate methods.
Organometallic complexes with σ-bonding
Most common organoactinide complexes involve π-bonding with ligands such as cyclopentadienyl, but there are a few exceptions with σ-bonding, namely in thorium and uranium chemistry as these are the most easily handleable elements of this group.
Alkyl and aryl compounds

Attempts to synthesize uranium alkyls were first made during the Manhattan project by Henry Gilman, inspired by the volatility of main group organometallics. However he noticed that these compounds tend to be highly unstable.[1]
Marks and Seyam attempted to synthesize them from UCl4 using organolithium reagents, but these decomposed quickly.
In 1989, a group finally synthesized a homoleptic complex with trimethylsilyl groups: U[CH(SiMe3)2]3. Since then, variants of higher coordination numbers such as [Li(TMEDA)]2[UMe6] have also been synthesized.[1]
On the other hand, only one homoleptic thorium alkyl is known.[2] The seven coordinate heptamethylthorate(IV) anion was synthesized in 1984 using a similar procedure to the equivalent uranium complex.
Mixed phosphine containing complexes of thorium and uranium tetramethyls have also been made, using dmpe as the organophosphorus ligand stabilising the structure (amides can also assume this role).[3]
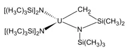
Metallacycles
Uranium and thorium both form metallacycles with a diverse chemistry.[4] These complexes are very labile so trimethylsilyl groups are again present for protection. These compounds are formed by reacting weaker alkylating agents (LiCH3 and Mg(CH3)2 are too strong and lead to the formation of simple alkyls) with ClAn[N(Si(CH3)2]3 (An = Th, U).

Organometallic complexes with π-bonding
A large majority of the organoactinides involve Cyclopentadienyl (Cp) or Cyclooctatetraene (COT) and their derivatives as ligands. These usually take part in η5- and η8-bonding, donating electron density through their pi orbitals.
Cyclooctatetraene complexes
Actinocenes

Actinides form sandwich complexes with cyclooctatetraene analogously to how transition metals react with cyclopentadienyl ligands. Actinide ions have atomic radii that are too large to form MCp2 compounds, so that they prefer to react with C8H82- ions instead.
The first example of this type of chemical species was discovered in 1968 by Andrew Streitwieser, who prepared uranocene by reacting K(COT)2 with UCl4 in tetrahydrofuran at 0 °C.[5] The compound itself is a pyrophoric green solid that is otherwise quite unreactive.[6]

Most tetravalent actinides react similarly to form actinocenes:
Bis(cyclooctatetraene)protactinium was first prepared in 1973 by turning protactinium(V) oxide into the pentachloride and reducing it with aluminium powder before reacting it with potassium cyclooctatetraenide.[7]
- :
Neptunocene and thorocene were made similarly using the tetrachlorides. Plutonocene is the exception here: as there is no stable plutonium(IV) chloride known, (Hpy)2PuCl6 had to be used.
The later actinides also form complexes with COT but these don't usually assume the classic neutral sandwich structure. Trivalent actinides form ionic compounds with COT ligands, this can be exemplified by the reaction of americium triiodide with K2COT.
This compound is present in solution as the THF adduct.
Complexes of substituted cyclooctatetraenes
Due to the drawbacks of the unsubstituted cyclooctatetraene (COT) ligand in organoactinide chemistry, namely low solubility and poor crystallinity, substituted COT ligands are often employed in the synthesis of actinocene complexes.[8]
Many substituted uranocenes have been synthesized.[9][10] The methodology followed was the same as for simple U(COT)2, but the properties of some of the compounds were found to be different.
The tetraphenylcyclooctatetraene complex was found to be completely air stable by Streitwieser. This high stability is probably due to the hindering effects of the phenyl groups, protecting the U4+ center from an attack by oxygen.[10]
All these derivatives are much more soluble in organic solvents such as benzene, in which they form green solutions that are more air sensitive than the crystalline solids.

Plutonium also forms a sandwich complex with 1,4-bis(trimethylsilyl)cyclooctatetraenyl (1,4-COT’’) and its 1,3 isomer. This compound is prepared by the oxidation of the anionic green Pu(III) complex Li(THF)4[Pu(1,4-COT’’)2] with cobalt(II) chloride which leads to the formation of Pu(1,4-COT’’)(1,3-COT’’). The reaction is easily noticeable by the THF solution changing to a dark red colour, characteristic of Pu(IV).[11]

The neptunium equivalent with the trisubstituted COT’’’ has also been reported[12] and the complexes of both the tri- and di- substituted ligands with thorium and uranium are well known.[8] They were synthesized according to the following reaction schemes:

Due to limited isotope availability and scarcity of laboratory infrastructure, transplutonium organoactinide complexes are rarely isolated. In 2025, utilizing a hexahydrodicyclopenta[8]annulene ligand (hdcCOT) and 0.3 milligrams of berkelium-249, researchers at Lawrence Berkeley National Laboratory synthesized berkelocene, the first actinocene with a new actinide in over 50 years. The indigo crystals of the complex were characterized, with coordination resembling that of uranocene.[13]
Cyclopentadiene complexes
Tris(cyclopentadienyl)actinide complexes

Most trivalent f block elements form compounds with cyclopentadiene with the formula M(Cp)3. These complexes have been isolated up to californium, with the einsteinium equivalent having been observed in the gas phase.[14]

The synthesis of the AnCp3 usually follows the reaction scheme shown above[4][15] with a few more added steps that are sometimes needed to synthesize the trichlorides from the commercially supplied oxides.[14] Nevertheless, other syntheses are also used by some authors: alkali metal cyclopentadienides can be used instead of the beryllium complex, and An(IV) complexes can also be used via a reductive elimination reaction.
| Th | U | Np | Pu | Am | Cm | Bk | Cf |
|---|---|---|---|---|---|---|---|
| green | brown | pale green | green | flesh | colourless | amber | red |
These compounds have been known since the sixties, however until 2017 only the neptunium compound was structurally characterised. Kovàcs and coworkers were able to analyse the plutonium and uranium complexes, finding that all three structures were similar, with an asymmetrical distribution of cylopentadienide ligands and a higher covalent character to the carbon-actinide bond than in organolanthanide compounds.[17]
Tetrakis(cyclopentadienyl)actinide complexes
Tetravalent thorium, uranium and neptunium easily form MCp4 compounds by a metathesis reaction from potassium cyclopentadienide using benzene as a solvent.[4]

Cycloheptatriene complexes
Though less widely studied, actinide complexes with the heptahapto cycloheptatrienyl (Ch) ion have been predicted to exist and the uranium species U(Ch)2− synthesized. These complexes are predicted to be oxidizing. Due to the contraction of the 5f-orbital, actinide cycloheptatriene complexes are expected to decrease in stability with higher atomic numbers.[18]
See also
- Organouranium chemistry
- Organoneptunium chemistry
- Actinocenes
- Uranocene, U(C8H8)2
- Neptunocene, Np(C8H8)2
- Plutonocene, Pu(C8H8)2
References
- ^ a b Seaman LA, Walensky JR, Wu G, Hayton TW (April 2013). "In pursuit of homoleptic actinide alkyl complexes". Inorganic Chemistry. 52 (7): 3556–64. doi:10.1021/ic300867m. PMID 22716022.
- ^ Lauke H, Swepston PJ, Marks TJ (October 1984). "Synthesis and characterization of a homoleptic actinide alkyl. The heptamethylthorate(IV) ion: a complex with seven metal-carbon .sigma. bonds". Journal of the American Chemical Society. 106 (22): 6841–6843. doi:10.1021/ja00334a062.
- ^ Edwards PG, Andersen RA, Zalkin A (February 1984). "Preparation of tetraalkyl phosphine complexes of the f-block metals. Crystal structure of Th(CH2Ph)4(Me2PCH2CH2PMe2) and U(CH2Ph)3Me(Me2PCH2CH2PMe2)". Organometallics. 3 (2): 293–298. doi:10.1021/om00080a023.
- ^ a b c Behrle AC, Walensky JR (2015), "Actinides: Organometallic Chemistry", Encyclopedia of Inorganic and Bioinorganic Chemistry, American Cancer Society, pp. 1–41, doi:10.1002/9781119951438.eibc0002.pub2, ISBN 9781119951438
- ^ Streitwieser Jr A, Mueller-Westerhoff U (1968-12-01). "Bis(cyclooctatetraenyl)uranium (uranocene). A new class of sandwich complexes that utilize atomic f orbitals". Journal of the American Chemical Society. 90 (26): 7364. doi:10.1021/ja01028a044.
- ^ Cotton, Simon. (2013). Lanthanide and Actinide Chemistry. John Wiley & Sons. ISBN 9781118681367. OCLC 897575995.
- ^ Starks DF, Parsons TC, Streitwieser A, Edelstein N (June 1974). "Bis(.pi.-cyclooctatetraene)protactinium". Inorganic Chemistry. 13 (6): 1307–1308. doi:10.1021/ic50136a011.
- ^ a b Rausch J, Apostolidis C, Walter O, Lorenz V, Hrib CG, Hilfert L, Kühling M, Busse S, Edelmann FT (2015). "One ligand fits all: lanthanide and actinide sandwich complexes comprising the 1, 4-bis (trimethylsilyl) cyclooctatetraenyl (= COT′′) ligand". New Journal of Chemistry. 39 (10): 7656–66. doi:10.1039/c5nj00991j.
- ^ Streitwieser A, Harmon CA (1973-05-01). "Uranocenes with hydrocarbon substituents". Inorganic Chemistry. 12 (5): 1102–1104. doi:10.1021/ic50123a024.
- ^ a b Streitwieser A, Walker R (September 1975). "Bis-π-(1,3,5,7-tetraphenylcyclooctatetraene)uranium, an air stable uranocene". Journal of Organometallic Chemistry. 97 (3): C41 – C42. doi:10.1016/S0022-328X(00)89316-X.
- ^ Apostolidis C, Walter O, Vogt J, Liebing P, Maron L, Edelmann FT (April 2017). "A Structurally Characterized Organometallic Plutonium(IV) Complex". Angewandte Chemie. 56 (18): 5066–5070. doi:10.1002/anie.201701858. PMC 5485009. PMID 28371148.
- ^ Tassell MJ, Kaltsoyannis N (August 2010). "Covalency in AnCp4 (An = Th-Cm): a comparison of molecular orbital, natural population and atoms-in-molecules analyses". Dalton Transactions. 39 (29): 6719–25. doi:10.1039/c000704h. PMID 20631951.
- ^ Russo, Dominic R.; Gaiser, Alyssa N.; Price, Amy N.; Sergentu, Dumitru-Claudiu; Wacker, Jennifer N.; Katzer, Nicholas; Peterson, Appie A.; Branson, Jacob A.; Yu, Xiaojuan; Kelly, Sheridon N.; Ouellette, Erik T.; Arnold, John; Long, Jeffrey R.; Lukens, Wayne W.; Teat, Simon J. (2025-02-28). "Berkelium–carbon bonding in a tetravalent berkelocene". Science. 387 (6737): 974–978. doi:10.1126/science.adr3346.
- ^ a b Laubereau PG, Burns JH (May 1970). "Microchemical preparation of tricyclopentadienyl compounds of berkelium, californium, and some lanthanide elements". Inorganic Chemistry. 9 (5): 1091–1095. doi:10.1021/ic50087a018.
- ^ Baumgärtner, F.; Fischer, E. O.; Kanellakopulos, B.; Laubereau, P. (1966-01-07). "Tri-cyclopentadienyl-americium(III)". Angewandte Chemie (in German). 78 (1): 112–113. doi:10.1002/ange.19660780113.
- ^ Marks TJ (September 1982). "Actinide organometallic chemistry". Science. 217 (4564): 989–97. Bibcode:1982Sci...217..989M. doi:10.1126/science.217.4564.989. PMID 17839316.
- ^ Apostolidis C, Dutkiewicz MS, Kovács A, Walter O (February 2018). "Solid-State Structure of Tris-Cyclopentadienide Uranium(III) and Plutonium(III)". Chemistry: A European Journal. 24 (12): 2841–2844. doi:10.1002/chem.201704845. PMC 5861669. PMID 29193373.
- ^ Li, Jun; Bursten, Bruce E. (1 September 1997). "Electronic Structure of Cycloheptatrienyl Sandwich Compounds of Actinides: An(η 7 -C 7 H 7 ) 2 (An = Th, Pa, U, Np, Pu, Am)". Journal of the American Chemical Society. 119 (38): 9021–9032. doi:10.1021/ja971149m.
- Marks, Tobin J. (1982). "Actinide Organometallic Chemistry". Science. 217 (4564): 989–997. doi:10.1126/science.217.4564.989.