Huesa

Huesa, Spain
city
Coat of arms of Huesa, Spain
Huesa is located in Province of Jaén (Spain)
Huesa
Huesa
Location in the Province of Jaén
Huesa is located in Andalusia
Huesa
Huesa
Huesa (Andalusia)
Huesa is located in Spain
Huesa
Huesa
Huesa (Spain)
Coordinates: 37°46′N 3°04′W / 37.767°N 3.067°W / 37.767; -3.067
Country Spain
Autonomous
community
Andalusia
Province Jaén
MunicipalityHuesa
Area
 • Total
137 km2 (53 sq mi)
Elevation
655 m (2,149 ft)
Population
 (2018)[1]
 • Total
2,527
 • Density18/km2 (48/sq mi)
Time zoneUTC+1 (CET)
 • Summer (DST)UTC+2 (CEST)

Huesa is a city located in the province of Jaén, Spain. According to the 2005 census (INE), the city had a population of 2,727 inhabitants.

Its principal agricultural activity is cultivating olives.

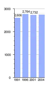
Demographic

Variety demographic of this municipality between 1991 and 2004.

See also

References

  1. ^ Municipal Register of Spain 2018. National Statistics Institute.