Khan Academy (English - US curriculum)
Math
Get ready for APĀ® Calculus
Get ready for differentiation: definition and basic derivative rules
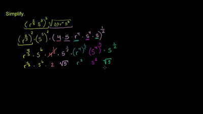
Properties of exponents
Properties of exponents
Rewriting quotient of powers (rational exponents)
Properties of exponents intro (rational exponents)
Rewriting mixed radical and exponential expressions
Properties of exponents (rational exponents)