Khan Academy (English - US curriculum)
Math by grade
High school
Get ready for Geometry
Get ready for conic sections
Factoring quadratics with perfect squares
Factoring quadratics with perfect squares
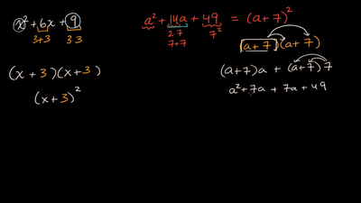
Perfect square factorization intro
Perfect squares intro
Factoring perfect squares
Identifying perfect square form
Factoring perfect squares: negative common factor
Factoring perfect squares: missing values
Factoring perfect squares: shared factors
Perfect squares