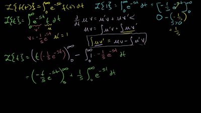
Properties of the Laplace transform

You know how to use the definition of the Laplace transform. In this tutorial, we'll explore some of the properties of the transform that will start to make it clear why they are so useful for differential equations.This tutorial is paired well with the tutorial on using the "Laplace transform to solve differential equations". In fact you might come back to this tutorial over and over as you solve