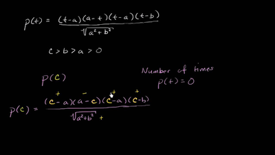
Modeling with rational functions

See some examples of how rational functions and equations can come in handy when solving real-world word problems.