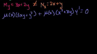
Exact equations and integrating factors

A very special class of often non-linear differential equations. If you know a bit about partial derivatives, this tutorial will help you know how to 'exactly' solve these!