Khan Academy (English - US curriculum)
Math
Get ready for APĀ® Calculus
Get ready for limits and continuity
The Pythagorean identity
The Pythagorean identity
Proof of the Pythagorean trig identity
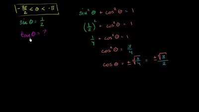
Using the Pythagorean trig identity
Use the Pythagorean identity