Khan Academy (English - US curriculum)
Math by grade
High school
Integrated math 2
Quadratic functions & equations
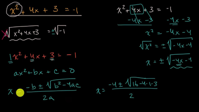
Strategizing to solve quadratic equations
Strategizing to solve quadratic equations
Strategy in solving quadratic equations
Strategy in solving quadratics