Nuclear physics

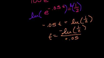
In this tutorial, we will learn about radioactive decay, nuclear stability, and what is happening on a subatomic level during a nuclear reaction.