Khan Academy (English - US curriculum)
Math
AP®︎ Calculus BC
Integration and accumulation of change
Integrating using linear partial fractions
Integrating using linear partial fractions
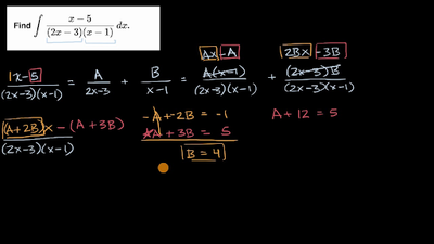
Integration with partial fractions
Integration with partial fractions