Khan Academy (English - US curriculum)
Math
AP®︎ Calculus BC
Applications of integration
Volume with washer method: revolving around other axes
Volume with washer method: revolving around other axes
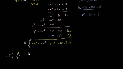
Washer method rotating around horizontal line (not x-axis), part 1
Washer method rotating around horizontal line (not x-axis), part 2
Washer method rotating around vertical line (not y-axis), part 1
Washer method rotating around vertical line (not y-axis), part 2
Washer method: revolving around other axes