Stokes' theorem

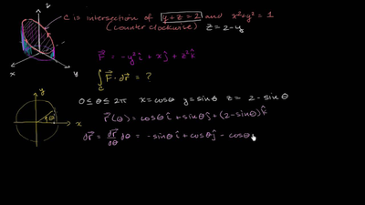
Stokes' theorem relates the line integral around a surface to the curl on the surface. This tutorial explores the intuition behind Stokes' theorem, how it is an extension of Green's theorem to surfaces (as opposed to just regions) and gives some examples using it. We prove Stokes' theorem in another tutorial. Good to come to this tutorial having experienced the tutorial on "flux in 3D".