Khan Academy (English - US curriculum)
Math
Get ready for APĀ® Calculus
Get ready for integration and accumulation of change
Dividing quadratics by linear factors
Dividing quadratics by linear factors
Intro to long division of polynomials
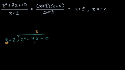
Dividing quadratics by linear expressions (no remainders)
Divide quadratics by linear expressions (no remainders)
Dividing quadratics by linear expressions with remainders
Dividing quadratics by linear expressions with remainders: missing x-term
Divide quadratics by linear expressions (with remainders)