Khan Academy (English - US curriculum)
Math
AP®︎ Calculus BC
Applying derivatives to analyze functions
Solving optimization problems
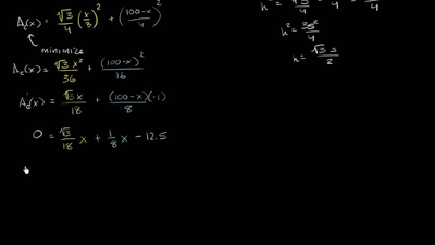
Solving optimization problems
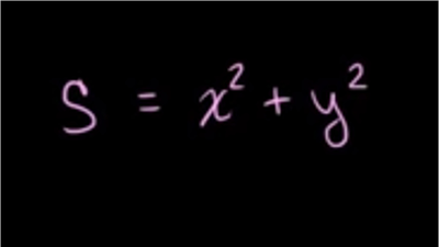
Optimization: sum of squares
Optimization: box volume (Part 1)
Optimization: box volume (Part 2)
Optimization: profit
Optimization: cost of materials
Optimization: area of triangle & square (Part 1)
Optimization: area of triangle & square (Part 2)
Optimization
Motion problems: finding the maximum acceleration