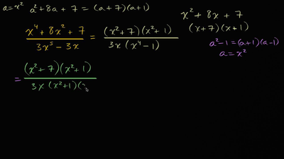
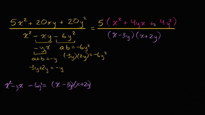
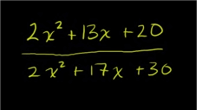
Cancelling common factors

Learn how to simplify rational expressions by canceling factors that are shared by the numerator and the denominator. Sometimes this calls for factoring the numerator and the denominator in various ways.