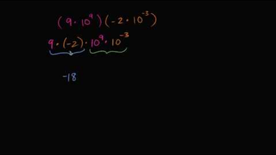
Working with powers of 10

This tutorial leads in to scientific notation. It features multiplication and division problems involving powers of 10.