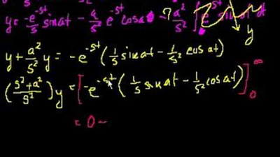
Laplace transform

We now use one of the coolest techniques in mathematics to transform differential equations into algebraic ones. You'll also learn about transforms in general!