Khan Academy (English - US curriculum)
Math
Get ready for APĀ® Calculus
Get ready for differentiation: definition and basic derivative rules
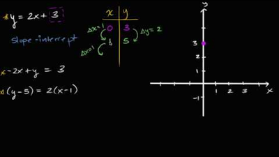
Intro to slope-intercept form
Intro to slope-intercept form
Intro to slope-intercept form
Slope and y-intercept from equation
Worked examples: slope-intercept intro
Slope-intercept intro