Khan Academy (English - US curriculum)
Math
AP®︎ Calculus BC
Infinite sequences and series
Defining convergent and divergent infinite series
Defining convergent and divergent infinite series
Convergent and divergent sequences
Worked example: sequence convergence/divergence
Sequence convergence/divergence
Partial sums intro
Partial sums: formula for nth term from partial sum
Partial sums: term value from partial sum
Partial sums intro
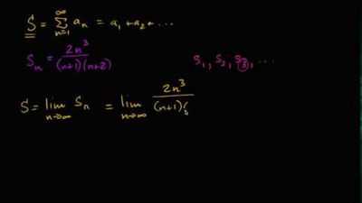
Infinite series as limit of partial sums
Partial sums & series