Khan Academy (English - US curriculum)
Math by grade
5th grade
Algebraic thinking
Writing expressions
Writing expressions
Constructing numerical expressions
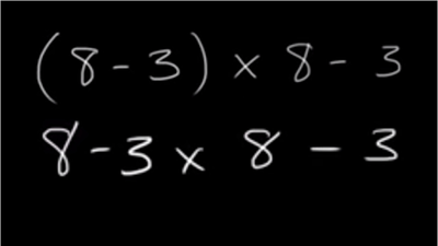
Evaluating expressions with & without parentheses
Evaluate expressions with parentheses
Translating expressions with parentheses
Translate expressions with parentheses
Create expressions with parentheses