Khan Academy (English - US curriculum)
Math
Get ready for APĀ® Calculus
Get ready for differentiation: composite, implicit, and inverse functions
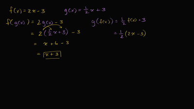
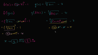
Verifying inverse functions by composition
Verifying inverse functions by composition
Verifying inverse functions from tables
Using specific values to test for inverses
Verifying inverse functions by composition
Verifying inverse functions by composition: not inverse
Verify inverse functions