Khan Academy (English - US curriculum)
Science & Engineering
Physics
Special relativity
Einstein velocity addition
Einstein velocity addition
Lorentz transformation for change in coordinates
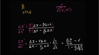
Einstein velocity addition formula derivation
Applying Einstein velocity addition
Finding an in-between frame of reference
Calculating neutral velocity
Time dilation