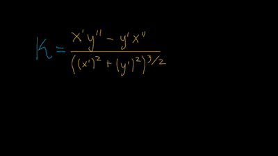
Curvature

How do you measure how much a curve actually curves? There are many ways to view the answer to this question, but all land you on the same mathematical quantity, known simply as "curvature".